Inecuaciones. Media aritmética y media geométrica
No siempre nos explican por qué trabajamos en educación matemática con inecuaciones. Ojalá sirva este posteo que trataremos de hacer bien sencillo para apreciar que cierto tipo de expresiones no podemos trabajarlas como ecuaciones, pero sí las podemos manipular con seguridad con signos de desigualdades. Esto es, no trabajamos en la búsqueda de valores únicos, sino de entornos o intervalos, que son muy útiles también.
(1) Sea un rectángulo de lados g y f:

Fig. 1. Rectángulo de lados g y f. Fuente: Elaboración propia con GeoGebra.
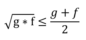
(2) En la siguiente figura se trazó un círculo de diámetro g+f (su radio es FJ). Además, trazando una perpendicular desde A, se interseca la circunferencia, que por el Teorema de la altura resulta:

Fig. 2. Trazado geométrico de media geométrica y media aritmética de dos números positivos g y f. Fuente: Elaboración propia con GeoGebra.

entonces:

que no es otra cosa que la media geométrica de g y f.
Mientras que FJ (notar que F es centro del círculo naranja):

es la media aritmética de g y f.
Vemos que:

(3) Conclusión:

La media geométrica de dos números positivos g y f nunca excede su media aritmética.
Por lo tanto, vemos que a veces ciertas relaciones es útil y necesario trabajarlas como desigualdades.
(4) Se propone investigar respecto de la media armónica, la cual también se puede visualizar en esta representación gráfica que acabamos de realizar.
Bibliografía:
Courant, R., Fritz, J. (1993). Introducción al cálculo y al análisis matemático. Vol. 1. Editorial Limusa.
